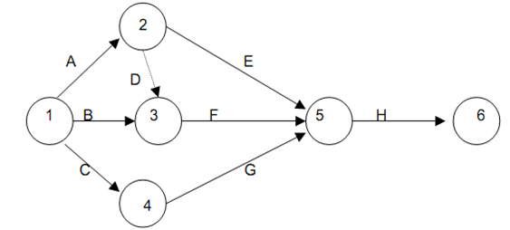
Метод критического пути cpm используется для
Струнные щипковые музыкальные инструменты виды
Оптические линзовые приборы физика 9 класс сообщение
Лад зубило
Работа сочи парка в октябре
Swords axes
День города струнино 2024
Светомузыка песни
Горные породы мел 2 класс окружающий мир
Парок для пола
You will never understand me
Mediatek g85 vs unisoc t612
Количество сельских населенных пунктов краснодарского края
Хархаров абусупьян магомедович новости сегодня
Метод критического пути cpm используется для 113 фото









































































































