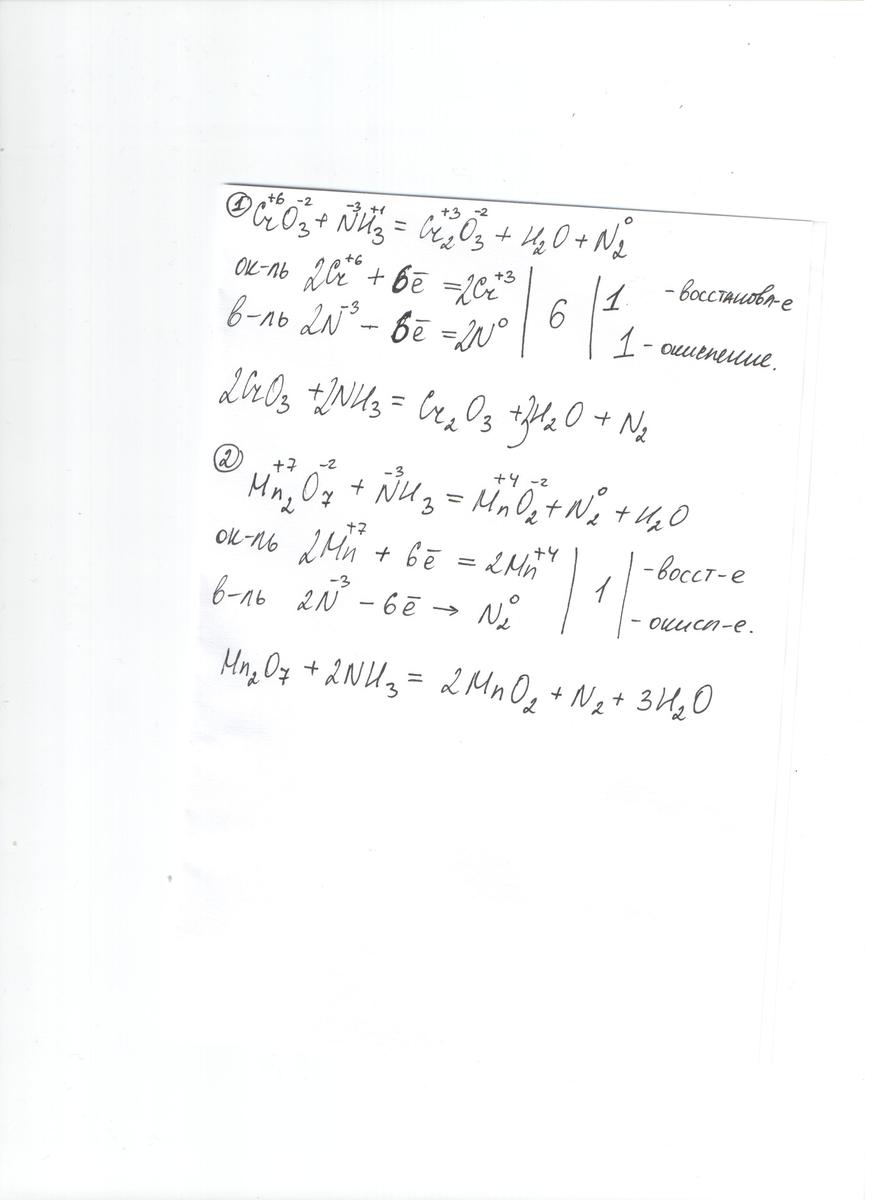
Метод электронного баланса al cr2o3 al2o3 cr
Закон 173 фз о трудовых пенсиях доплата
Как поменять текстовый формат
В серышево какие
Заменить колодки на ваз 2107
Технологический и ценовой аудит инвестиционных проектов
Diamonds everything
Ладыженская 369
Футбол брага рапид прогноз
Школа 3 архивные фото
Картинка под каблуком
1 105 раз это
Сочи душанбе дешевле самолет
Кабул узбекистан
Метод электронного баланса al cr2o3 al2o3 cr 114 фото








































































































