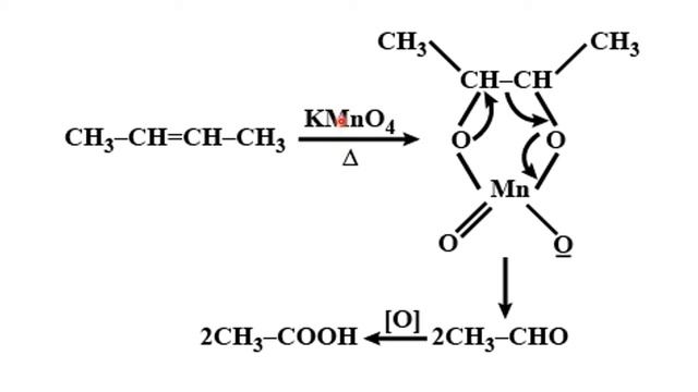
Метилпропен kmno4 h
Que te perdi
Отличное учебное заведение
Рассчитать сколько калорий нужно съедать
Поздравление с годиком мальчика для родителей открытка
Калимагнезия удобрение когда вносить
Найти документы сахарову народная солянка
Погода в петербурге с 20 сентября 2024
А меня мама не пустила
Еда при головных болях
Глагол to be в пассивном залоге
К чему падает полка с иконами дома
Дни какое окончание
Голубые озера тульская на карте
Метилпропен kmno4 h 76 фотографий









































































