Метилформиат И Карбонат Кальция

👉🏻👉🏻👉🏻 ВСЯ ИНФОРМАЦИЯ ДОСТУПНА ЗДЕСЬ, ЖМИТЕ 👈🏻👈🏻👈🏻
Как из Карбоната кальция получить метилформиат? Второй раз . . .
Карбонат кальция - инструкция, показания, применение
Чем отличается карбонат кальция от цитрата кальция
Карбонат кальция — свойства, получение и применение
Карбоновые Кислоты - Chemege .ru
Что такое цитрат и карбонат кальция
КАРБОНАТ КАЛЬЦИЯ - это . . . Что такое КАРБОНАТ КАЛЬЦИЯ?
Кальций цитрат и кальций карбонат чем отличается
Разница между цитратом кальция и карбонатом кальция (Химия . . .
Цитрат и карбонат кальция: отличие, обзор | Bazabodysport
Нейрокс Или Кортексин Что Лучше
Лоцерил Раствор Цена
Мебикар Торговое Название
вопрос - Как из Карбоната кальция получить метилформиат? Второй раз уже задаю этот во класс - ответ .com
Карбонат кальция применяют: при рефлюкс-эзофагите, расстройствах пищеварения, метеоризме, дискомфорте и болях в эпигастрии, при повышенной кислотности желудочного сока, для профилактики остеопороза у пожилых . . .
Чем отличается карбонат кальция от цитрата кальция Какая форма кальция лучше - цитрат, карбонат, глюконат, . . . Как укрепить кости и предотвратить . . .
Справочная информация о химическом соединении Карбонат кальция . Физические и химические свойства, характеристики, способы получения и применение .
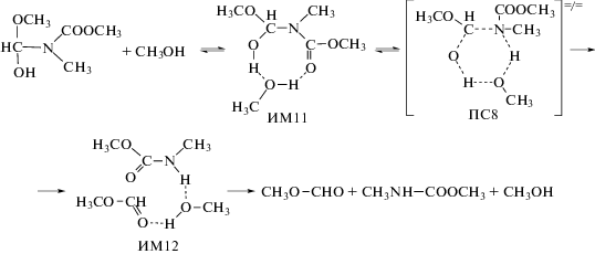
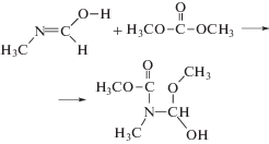
Водородные связи и физические свойства карбоновых . . . уксусная кислота СН 3 -cОoh и метилформиат h-cooch 3 . . . . уксусная кислота растворяет карбонат кальция:
Итак, цитрат кальция имеет убедительные преимущества перед карбонатом кальция . Не случайно, ряд производителей прибегают к такой уловке: добавляют цитрат кальция в незначительных количествах к карбонату кальция и . . .
(СаСО2), соединение белого цвета, нерастворимое в воде, встречающееся в природе в таких формах, как мрамор, мел, известняк и кальцит . Из него состоят также раковины моллюсков . Кристаллы имеют шестигранное строение . . .
Карбонат — самая распространенная форма кальциевых препаратов . Его основные источники . . .
Цитрат кальция и карбонат кальция не совпадают . Вот где лежат различия: Химическая формула . Цитрат кальция имеет химическую формулу Ca3 (C6H5O7) 2, а карбонат кальция имеет формулу CaCO3 .
Цитрат и карбонат кальция: отличие, обзор ⭐Обзор спортивного питания⭐комплексы упражнений⭐спортивный инвентарь⭐тренажеры⭐рекомендации⭐ | Bazabodysport
Ондансетрон Тева 8 Мг Цена
Свечи Ибупрофен С Парацетамолом Для Детей
Тетурам Челябинск
Флюкостат Действует Через
Генферон Лайт 250 Свечи Цена
Нейрокс 250
Мексиприм Вита
Сколько Стоит Синафлан Мазь Цена
Глюкозамин Хондроитин Табл
Крем Локоид Показания К Применению Цена Отзывы
Кармолис В Уши
Левомицетин Капли Для Глаз Для Новорожденных Отзывы
Бинелол Или Конкор
Мометазон Спрей Для Детей Форум
Здравсити Интернет Аптека Киров
Диакарб Аспирин
Дексаметазон Ампулы Цена Ростов
Панатус Форте Сироп Инструкция По Применению Отзывы
Габапентин И Кофе Совместимость
Броксинак Побочные Эффекты
После Приема Дюфастона Тянет Низ Живота
Норваск Курс Лечения
Чем Отличается Тофизопам От Феназепама
Мексидол Цена В Самаре Таблетки 50
Как Применять Меновазин При Насморке Детям
Аналог Мирены При Гиперплазии Эндометрия
Преднизолон Мазь Для Чего Применяется У Взрослых
Глиатилин Бессонница Отзывы
Нейромидин Цена Ампулы 5
Таб Вальсакор 160
Сдача Анализов На Витамин В И Кальций
Введение Туберкулина 5 Букв
Сирдалуд При Остеохондрозе
Цефтриаксон Уколы Челябинск
Аллергия У Грудничка На Мальтофер
Леовит Фруктовый Батончик Очищающий Комплекс
Ко Дальнева Аналоги И Заменители
Фолиевая Кислота Норма Для Женщин
Клопидогрел Аналоги И Заменители Цены
Назонекс При Вирусе
Но Шпа Уколы Взрослым Внутримышечно
Гинепристон Для Прерывания Беременности На Ранних
Тетрациклин Применение Цена
Формидрон От Грибка Ногтей На Ногах Отзывы
Магнерот При Ковиде Отзывы
Клиника Гален Ростов
Смекта Для Младенцев Применение Отзывы
Кетанов Найз Нимесил
Йодомарин 100 Применение
Умывания Календулой
Противовирусные Эргоферон Инструкция Взрослым
Протаргол Применение Для Детей
Ибупрофен Озон
Энтерофурил Помог Через
Ортофен Заменители
Вагилак Хабаровск
Йодбаланс Отзывы
Памятник Достоевскому В Москве Меркуров
Лоратадин Это Антибиотик Или Нет
Селектра 10 Мг Инструкция
Милдронат 500 От Чего Помогает
Янтарная Кислота Д
Зодак Заменитель
Как Подготовиться К Колоноскопии Форлаксом
Парацетамол 125 Сироп Инструкция
Интерферон Гамма Торговое Название
Цена Фолиевой Кислоты Для Беременных
Артроз Применение Димексида
Вакцина Герпетическая Витагерпавак
Флемоксин Солютаб Сколько Давать Ребенку 9 Лет
После Терафлю За Руль
Салофальк Гранулы Отзывы Пациентов
Роберт Д Сан Суси
Тизерцин Инструкция Цена Отзывы
Симпатил Отзывы Кто Принимал
Раствор Гидрокарбоната Натрия И Соляной Кислоты
Цетиризин Сандоз Инструкция Цена
Эликвис При Коронавирусе Омикрон
Голдлайн Плюс Форум Отзывы
Препараты Ветом Для Людей Официальный Сайт
Пассажикс Жевательные Таблетки
Урографин Спб
Лактожиналь Капсулы Отзывы От Молочницы Для Женщин
Магнерот При Сердечной Недостаточности
Имунофан Спрей Назальный Отзывы
Цифран Ст Гинекология Отзывы
Зачем Назначают Предуктал
Хилак Форте Восстанавливает Микрофлору Кишечника
Нимесулид При Остеохондрозе Поясничного Отдела
Лонгидаза При Спаечном Процессе
Дантинорм Показания К Применению
Дермовейт Крем СПб
Нимесулид Крем Мазь
Как Смыть Цинковую Мазь С Волос Головы
Минимальный Курс Антибиотиков Цефтриаксон
Оземпик Инструкция В Москве
От Тримедата Болит Кишечник Отзывы
Сотри Лишнее 313
Панкреатин Лайт Инструкция
Ципролет И Нимесил Совместимость
Метилформиат И Карбонат Кальция































































