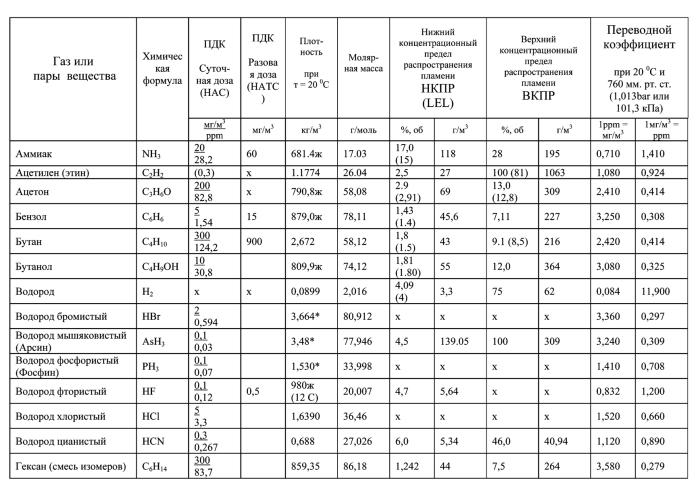
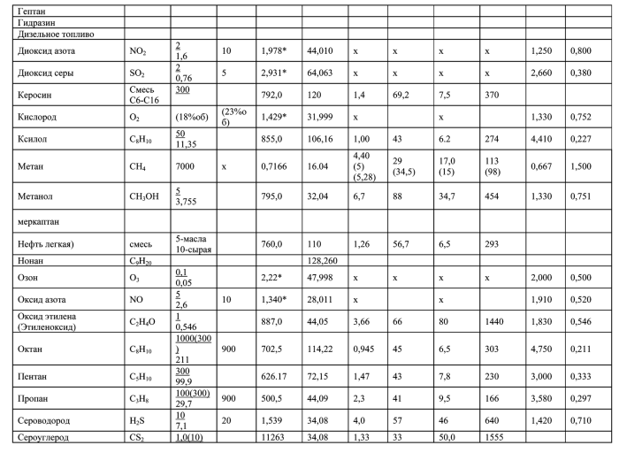
Метан пдк мг м3
Как правильно оформлять цитирование
Ромен роллан кола
Где сделать ключ в екатеринбурге
Jinjer rogue
В 8 месяцев какой рост у ребенка
Видишь в темном небе звезда русский размер
Оливер лидер
C heritage
Чернобыльский реактор тип
Валберис интернет магазин моя корзина
C6h5cooh h2so4
Подвижные единицы ремонтные вышки путевые вагончики
Counter strike 2 процессор
Метан пдк мг м3 108 фотографий





































































































