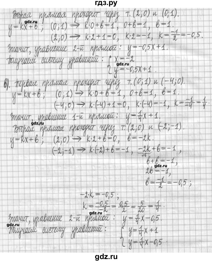
Мерзляк Решебник 7

Мерзляк Решебник 7
Гдз Окружающий 1 Класс Тетрадь
Гдз Русский Язык Класс Климанова Бабушкина
Сборники Готовых Домашних Заданий
Гдз По Химии 8 Класс Автор
Онлайн Гдз Английский Язык 4 Класс
Гдз Математика 1 Класс Стр 44
Математика 6 Жохов Решебник
Русский Язык 6 Класс Гдз Упражнение 22
Решебник По Бел Яз 6
Гдз По Английскому 9 Класс Студент Бук
Готовые Домашние Задание 4 Класс Петерсон
Решебник По Алгебре Девятого Класса
Гдз По Геометрии Дидактический Материал 10
Решебник Математика 6 Якир
Гдз По Математике Петерсон Тетрадь 2 Класс
Решебник По Математике Истомина 1 Часть
Львов Львова 9 Класс Решебник
Гдз Математика 2 Часть Миракова
Гдз По Алгебре 11 Класс Никольский 2010
Гдз Решебник Ершова
Гдз Сонин 5 Класс Учебник
Гдз 2020 2020
Гдз Математика 3 Класс Башмаков 1 Часть
Гдз Бунеев 4 Часть 2
Окружающий Федотова 1 Класс Гдз
Гдз Русский Язык 5 Виленкин
Решебник По Математике Моро 1 Часть
Гдз Решебник Биологии
Гдз Баранов Шестой Класс
Гдз По Коми Языку 7 Класс
Демидович Сборник Задач По Математическому Анализу Решебник
Решебник Тетрадь 2 Класс Кузнецова
Гдз Матем Рабочая Тетрадь
Гдз По Русскому 5 Класс Просвещение 2012
Гдз Алгебра 11 Шевкин
Гдз По Английскому Языку Сборник Поспелова
Гдз По Физике Путин
Гдз Spotlight Workbook 4 Класс
Решебник Горецкий 3 Класс 2 Часть
Гдз Мерзляк 5 Класс Номера
Гдз По Английскому Языку 10 Класс Спотлайт
Гдз Атанасян 10 Кл
Гдз По Русскому 3 Класс Бука
Решебник По Математике 2 Класс Истомин
Гдз Английский 3 Класс Рабочая Эванс
Гдз По Крыловой 2 Класс
Гдз По Математике Класс Учебник 1 Часть
Гдз Алгебра 7 Класс Атанасян Бутузов
Гдз Физика 9 Хижнякова
Гдз Чекин Математика 2 Часть 1
Гдз По Англ 2 Верещагина
Мерзляк 6 Класс Математика Гдз Номер 7
Гдз По Химии 8 Класс 1 Параграф
Вот как решебник для 7 класса (авторы: Мерзляк, Полонский, Якир) поможет при изучении дисциплины и отстающим, и даже отличникам
Онлайн-решебники по алгебре за 7 класс Мерзляк А .Г . – готовые домашние задания, подробные решения и ответы, без регистрации, бесплатно, круглосуточно, самые актуальные . .
Решебник (ГДЗ) по Алгебре за 7 (седьмой) класс авторы: Мерзляк, Полонский, Якир издательство Вентана-граф, 2019 год .
На сайте решак .ру представлен решебник Мерзляк Полонский 7 класс, который включает в себя сразу два варианта ответа .
Решебник по алгебре за 7 класс авторы Мерзляк, Полонский, Якир издательство Вентана-Граф . ГДЗ алгебра 7 класс Мерзляк, Полонский, Якир Вентана-Граф .
Поэтому учащимся на протяжении всего этого класса будет весьма полезно обращаться за помощью к решебнику к пособию «Алгебра 7 класс Учебник Мерзляк, Полонский, Якир . .
Наш решебник с готовыми домашними заданиями ГДЗ поможет детям, даже не имеющим математических наклонностей в получении положительных оценок по предмету .
Онлайн решебник и ГДЗ по алгебре 7 класс Мерзляк, Полонский, Якир За счет использования ГДЗ по алгебре 7 класс Мерзляк, успешность изучения дисциплины выходит на новый уровень .
Решебник по алгебре за 7 класс автора Мерзляк – как проверить успеваемость подростка? Седьмой класс – сложный этап школьного образования, который требует максимального . .
Использовать решебник по алгебре за 7 класс Мерзляк могут не только отстающие и не усвоившие тему учащиеся . Мы рекомендуем смотреть ответы и преуспевающим отличникам . .
Решебники - это простой способ изучать любой предмет . На уроке получим 12 баллов . Но за классную работу тоже хочется получить 12 баллов . Именно поэтому на уроке пригодиться всем . .
Решебники (ГДЗ) для школьников . ГДЗ (решебник ) к учебнику Мерзляк А .Г . и др . Алгебра 7 класс (углубленное изучение) ФГОС ОНЛАЙН .
Только отличные оценки с решебником по алгебре Мерзляка для семиклассников . Школьное образование необходимо для любой образованной и развитой личности .
Издание А .Г .Мерзляк В .Б .Полонский ГДЗ по алгебре за 7 класс создано таким образом, что оно незаменимо и для одних, и для других . В то время как подросток получает возможность . .
ГДЗ по алгебре за 7 класс Мерзляк . Ответы и решебник к учебнику . Мерзляк, Полонский, Якир . Вентана-Граф, 2019 .
ГДЗ Алгебра 7 клас Мерзляк . Авторы:Мерзляк А .Г ., Полонський В .Б . Ответы к учебнику Алгебра 7 класс Мерзляк , Полонский 2020 - решебник по новой программе .
Решебники за 7 класс > Алгебра > А . Г Мерзляк, В . Б . Полонский, М . С Якир . Авторы: А . Г Мерзляк, В . Б . Полонский, М . С Якир .
Готовые домашние задания по алгебре за седьмой класс к учебнику Мерзляк , Полонский, Якир . Решебник ко всем номерам учебника . Подробное объяснения решения .
Решебник по алгебре от автора Мерзляк А .Г ., В . Б . Полонский, М . С . Якир позволит семикласснику отказаться от дорогостоящих репетиторов и перейти на качественное . .
Решебник по алгебре для 7 класса Мерзляк – готовые домашние задания по арифметике, которые составлены на базе одноименного учебника авторитетных российских авторов . .
Вот как решебник для 7 класса (авторы: Мерзляк, Полонский, Якир) поможет при изучении дисциплины и отстающим, и даже отличникам
Онлайн-решебники по алгебре за 7 класс Мерзляк А .Г . – готовые домашние задания, подробные решения и ответы, без регистрации, бесплатно, круглосуточно, самые актуальные . .
Решебник (ГДЗ) по Алгебре за 7 (седьмой) класс авторы: Мерзляк, Полонский, Якир издательство Вентана-граф, 2019 год .
На сайте решак .ру представлен решебник Мерзляк Полонский 7 класс, который включает в себя сразу два варианта ответа .
Решебник по алгебре за 7 класс авторы Мерзляк, Полонский, Якир издательство Вентана-Граф . ГДЗ алгебра 7 класс Мерзляк, Полонский, Якир Вентана-Граф .
Поэтому учащимся на протяжении всего этого класса будет весьма полезно обращаться за помощью к решебнику к пособию «Алгебра 7 класс Учебник Мерзляк, Полонский, Якир . .
Наш решебник с готовыми домашними заданиями ГДЗ поможет детям, даже не имеющим математических наклонностей в получении положительных оценок по предмету .
Онлайн решебник и ГДЗ по алгебре 7 класс Мерзляк, Полонский, Якир За счет использования ГДЗ по алгебре 7 класс Мерзляк, успешность изучения дисциплины выходит на новый уровень .
Решебник по алгебре за 7 класс автора Мерзляк – как проверить успеваемость подростка? Седьмой класс – сложный этап школьного образования, который требует максимального . .
Использовать решебник по алгебре за 7 класс Мерзляк могут не только отстающие и не усвоившие тему учащиеся . Мы рекомендуем смотреть ответы и преуспевающим отличникам . .
Решебники - это простой способ изучать любой предмет . На уроке получим 12 баллов . Но за классную работу тоже хочется получить 12 баллов . Именно поэтому на уроке пригодиться всем . .
Решебники (ГДЗ) для школьников . ГДЗ (решебник ) к учебнику Мерзляк А .Г . и др . Алгебра 7 класс (углубленное изучение) ФГОС ОНЛАЙН .
Только отличные оценки с решебником по алгебре Мерзляка для семиклассников . Школьное образование необходимо для любой образованной и развитой личности .
Издание А .Г .Мерзляк В .Б .Полонский ГДЗ по алгебре за 7 класс создано таким образом, что оно незаменимо и для одних, и для других . В то время как подросток получает возможность . .
ГДЗ по алгебре за 7 класс Мерзляк . Ответы и решебник к учебнику . Мерзляк, Полонский, Якир . Вентана-Граф, 2019 .
ГДЗ Алгебра 7 клас Мерзляк . Авторы:Мерзляк А .Г ., Полонський В .Б . Ответы к учебнику Алгебра 7 класс Мерзляк , Полонский 2020 - решебник по новой программе .
Решебники за 7 класс > Алгебра > А . Г Мерзляк, В . Б . Полонский, М . С Якир . Авторы: А . Г Мерзляк, В . Б . Полонский, М . С Якир .
Готовые домашние задания по алгебре за седьмой класс к учебнику Мерзляк , Полонский, Якир . Решебник ко всем номерам учебника . Подробное объяснения решения .
Решебник по алгебре от автора Мерзляк А .Г ., В . Б . Полонский, М . С . Якир позволит семикласснику отказаться от дорогостоящих репетиторов и перейти на качественное . .
Решебник по алгебре для 7 класса Мерзляк – готовые домашние задания по арифметике, которые составлены на базе одноименного учебника авторитетных российских авторов . .



















