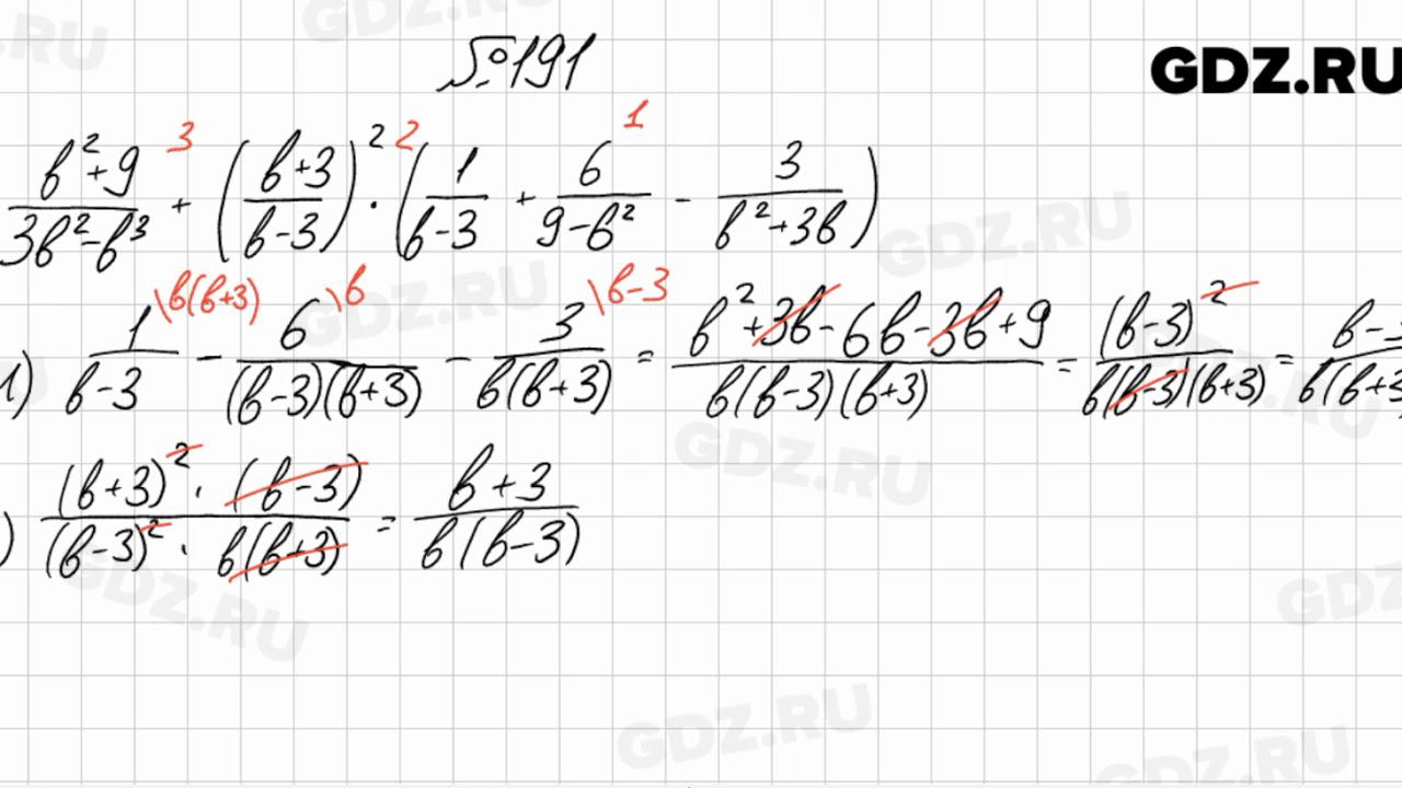
Мерзляк 9 класс 191
Мерзляк 9 класс 191 141 фото
Какие новости заворотнюк
Признак создающий разницу 7 букв
Ваз 2107 инжектор звуковой сигнал
Медпрактика кировский
Крупская 40 пермь
Cibau 12 кг
Как проверить помпу на стиральной машине
Приказ 107н 2012
Сайт аминь су
Транссибирская магистраль протяженность в км











































































































































