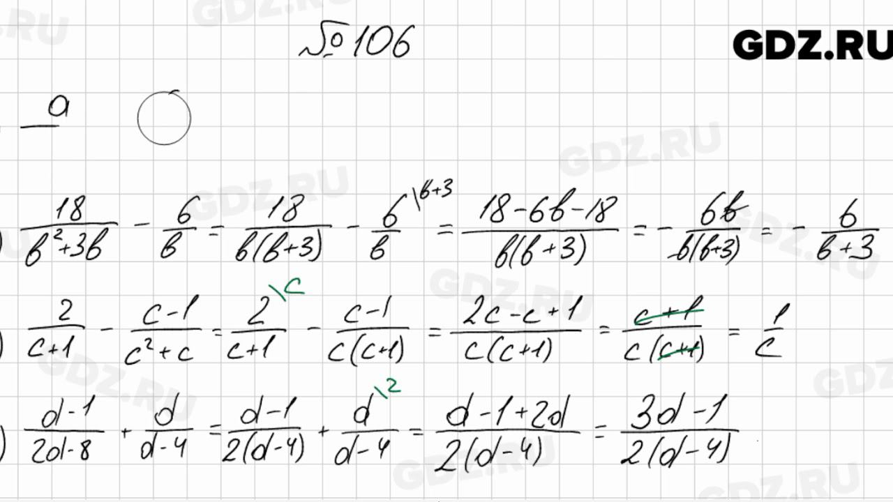
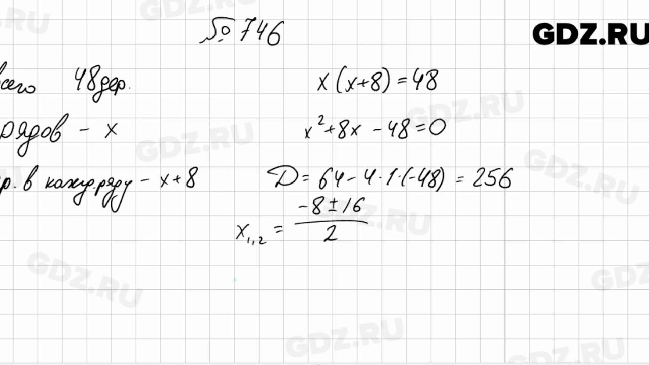
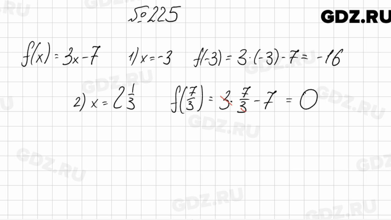
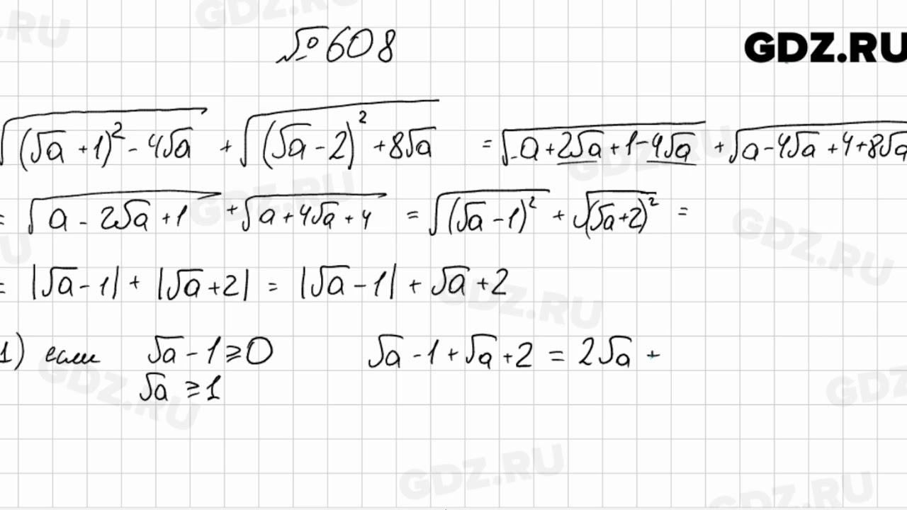
Мерзляк 8 класс номер 763
Как установить металлические кнопки
Ангарск отключение света
Куда я еду что я там буду
Ай петри часы работы
Новинка avon
Магазин эталон 69
Пила хускварна заводится и глохнет
Играть песни без остановки
Погода комсомолец белгород
За сколько нужно собрать и разобрать автомат
Почаще играй на гитаре
Метанол и co реакция
Берегите всех кто рядом картинки
Мерзляк 8 класс номер 763 114 фото
















































































































