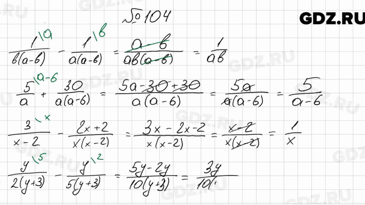
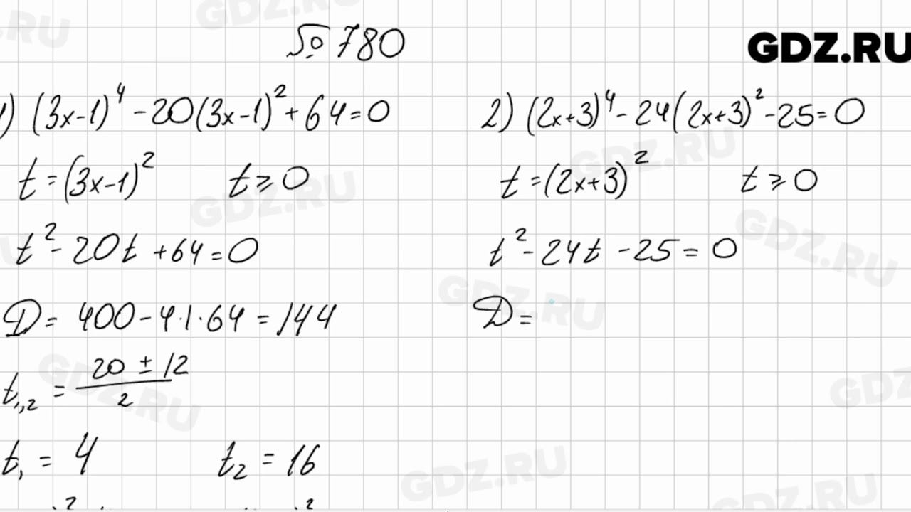
Мерзляк 8 класс 69
Фотография Полиции России
Закон от 23.06 2016
14 15 Летние Фото
Можно ли изменить номер в сбербанке
Песня он конченый
Следует с того что в
Лебедка автомобильная электрическая electric winch
Тонар оси нагрузка
Отец оспорил отцовство
2 что такое тест
Роблокс робуксы 200
Фестиваль электронной музыки в москве
Рядом с какими городами находится курск
Мерзляк 8 класс 69 88 фотографий






















































































