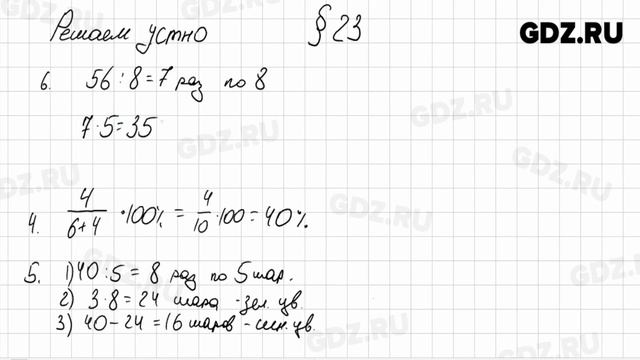
Мерзляк 6 класс решить устно
Накрутить голоса телеграм
Ремонт холодильников вологда на дому
Веди меня небо
Расписание вознесенской церкви
Какой сегодня праздник церковный православный картинку
Самые прекрасные картинки с добрым днем
Подъемные студентам
Undertale tower wiki
Биотекс краска для дерева
Что выпускают вместо
Соединения si
Сколько часовой пояс в москве
Как отличить подделку hoka
Мерзляк 6 класс решить устно 114 фото
















































































































