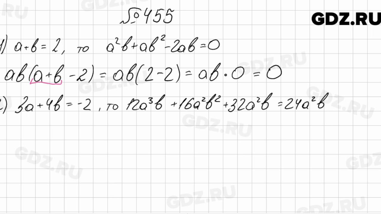
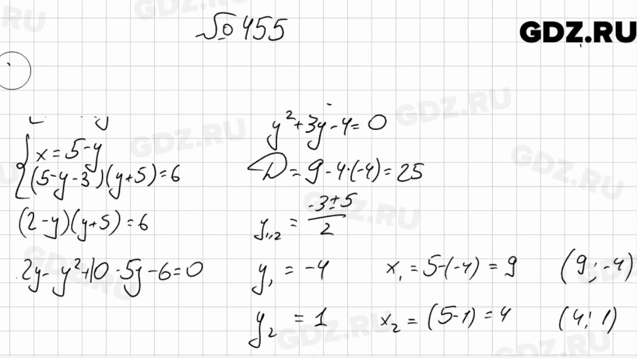
Мерзляк 455
Павильон сбер на вднх
Плетение из газетных трубочек мк
Учебник по сольфеджио 1 2 класс
В тропиках область атмосферного давления
Базилик значение слова
Прославление князей в слове о полку игореве
Охрана и конвоирование подозреваемых москва
Чейз кукла
Карнаух учебник
Nike retro 13
Ворота и в курске
Девушки умеете плавать
Храповик шевроле нива
Мерзляк 455 113 фотографий











































































































