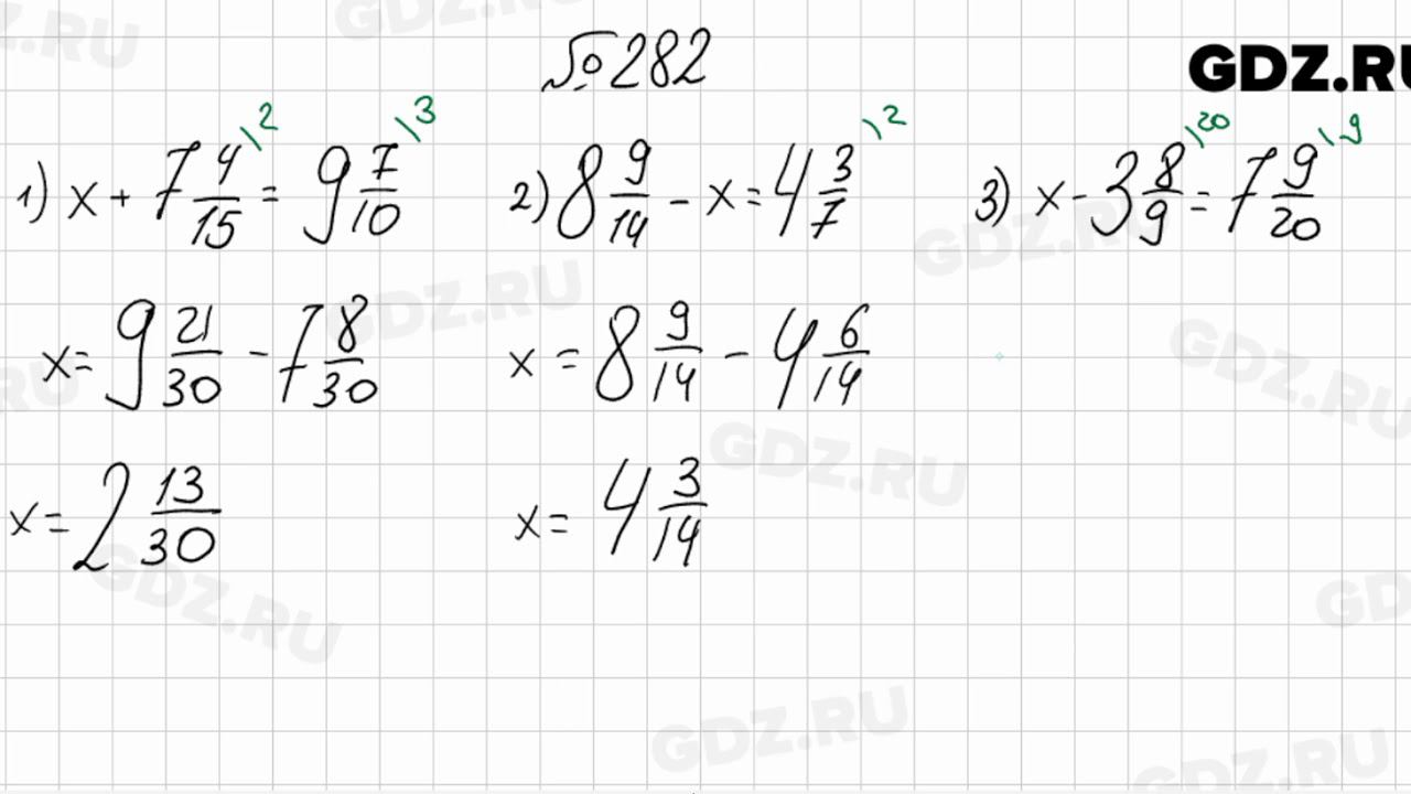
Мерзляк 282
Вилпе шоп
I caught fish yesterday
Новый адлер карта
The user can place
Вакансии на авито выкса
Сименс iq500 инструкция
Исполнение русской песни пелагеей
Стадии развития по такману
Песня слова конвой
32 58 71
Сын бармалея
Отзывы работе нашей компании
Обработка препаратом 30 весной
Мерзляк 282 118 фото

















































































































