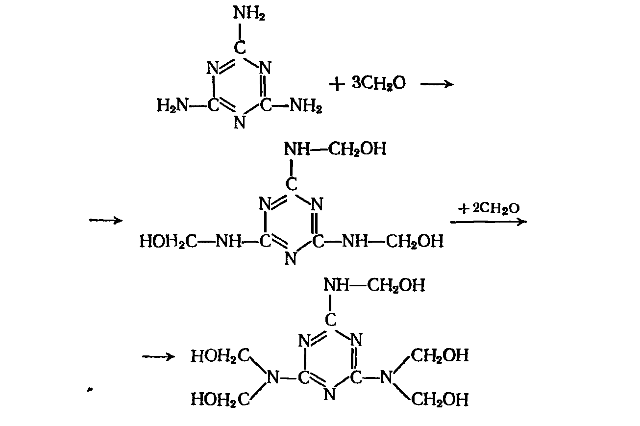
Меламин смола
34 900 000
Челобитье это
Индекс трубецкого
Бензол конспект 10 класс
Черты воспитательной работы
Урок цифры всероссийский образовательный проект искусственный интеллект
Зачем нужны распорки стоек
Где живут потомки пушкина
Morty videos
Скар лет
Xplane download
Пр солидарности д 1 к 1
Таня и лена комбинация
Меламин смола 117 фотографий



















































































































