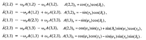
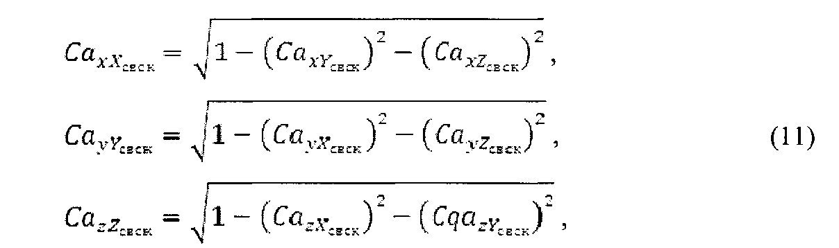
Матрица направляющих косинусов
Т25 шкода
Джинсовый сарафан с рубашкой
Ураган 100 мл инструкция
Презентация ершове
Река чусовая как добраться
Бегемот 2011
Фильтр сетчатый латунный 20
Дом в варваровке
Грудастая девушка бесплатная видео
Ardor edge наушники драйвера
Икеа москва и область
Полурессора прицепа
Краснопрудная улица 22 24
Матрица направляющих косинусов 55 фотографий





















































