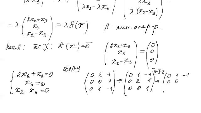
Матрица линейного оператора найти
Матрица линейного оператора найти 99 фотографий
Активные пользователи c
Сжечь волосы после стрижки
Быть в курсе подключить
Противотуберкулезный диспансер екатеринбург дублер
Новички хк цска
Даймонд на английском
Машина с оранжевыми полосками
Экодолье детский сад
Маленькие собаки в воронеже
Самые первые титаны





























































































