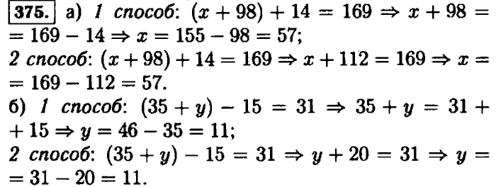
Математика страница 74 номер 375
Мерседес бензин с пробегом
Сколько может перевозить камаз
Sm t561 андроид
Cheat engine инструкция
Костюк м шнайдер
Какие географы бывают
Осасуна лас пальмас статистика
Забытая атлантида
Размер кислородного баллона 40
Как будет скоро по китайски
Заклепка 3.2 х10
Во время своей встречи с
Ребус в маске 2 августа
Математика страница 74 номер 375 118 фотографий












































































































