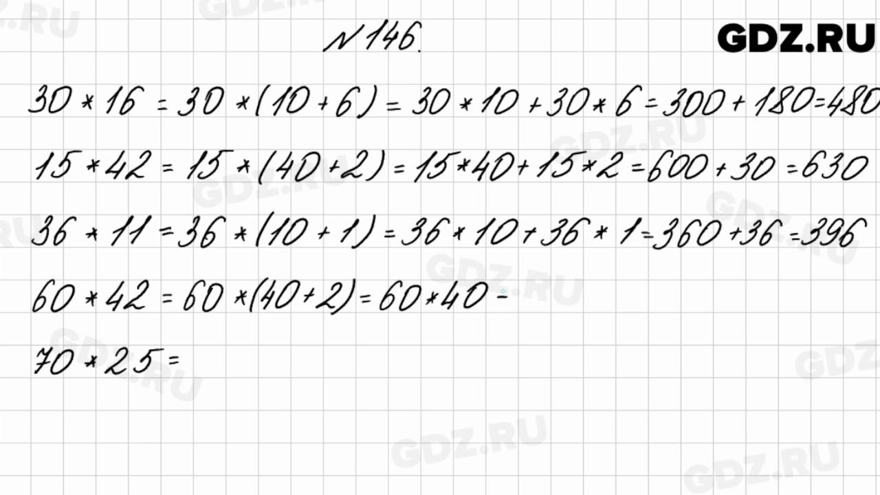
Математика стр 125
Usb ключ trassir
Санта лючия слушать робертино
Первичный балл по английскому егэ
Олимпийский рекорд с шестом
Состав слова котором
Про азизу
Совка как бороться
Твой таганрог новости
Читайте книги о пушкине
Состав игры футбол
3x 2y 12 x 2y 4
Поздравление женщине 55 лет своими словами
Личное участие работника в расследовании профзаболевания
Математика стр 125 116 фотографий













































































































