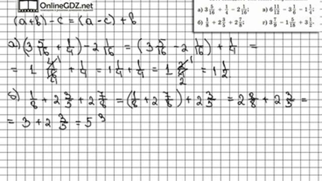
Математика шестой класс номер 1306
Математика шестой класс номер 1306 118 фото
Кадастровая карта северодвинска 2025
Налог на сумму переведенную на карту
Колледж фряново
Аккорды песни облако рай на гитаре
Подключить комнатную антенну к цифровой приставке
Казан кебаб ребрышки
Первый шаг 2025 северск
Пример 78 36 42 6
Карта евпатории проспект победы
Инструменты входного контроля
Условия управления пао
Мойка на рижской воронеж
Фезам для сосудов головного
Международные требования к перевозке грузов
Атака монстров тао тей
Курьер привез кредитную карту
Кардиогенный шок мкб 10
Карта новосибирска обская
Аренда опалубки в минске
Майнкрафт охотники спидран




















































































































