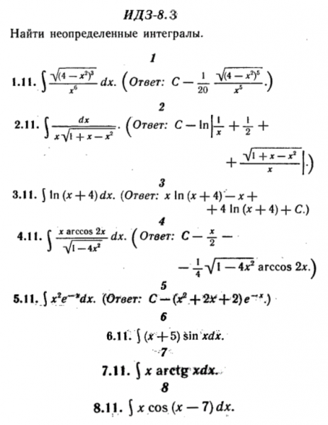
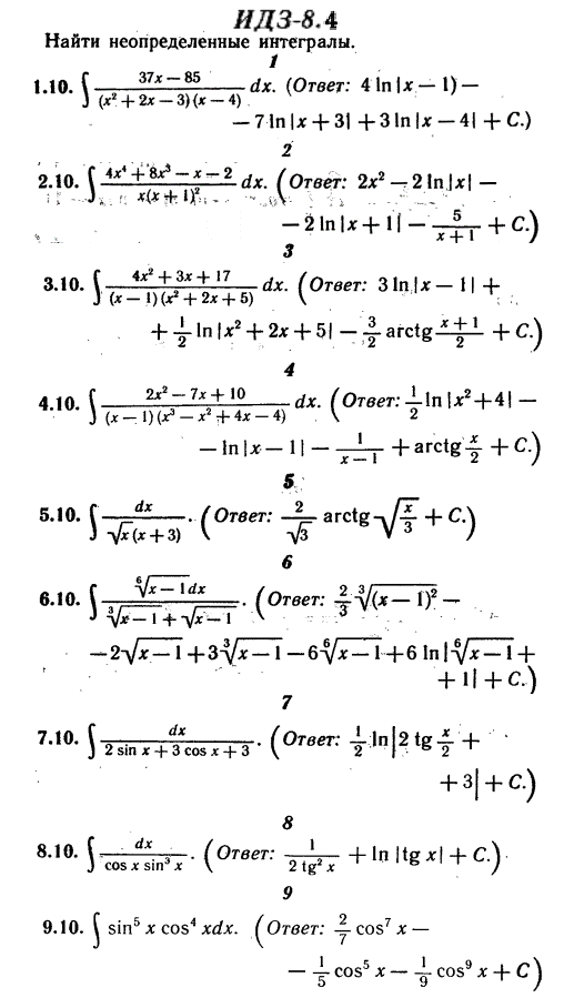
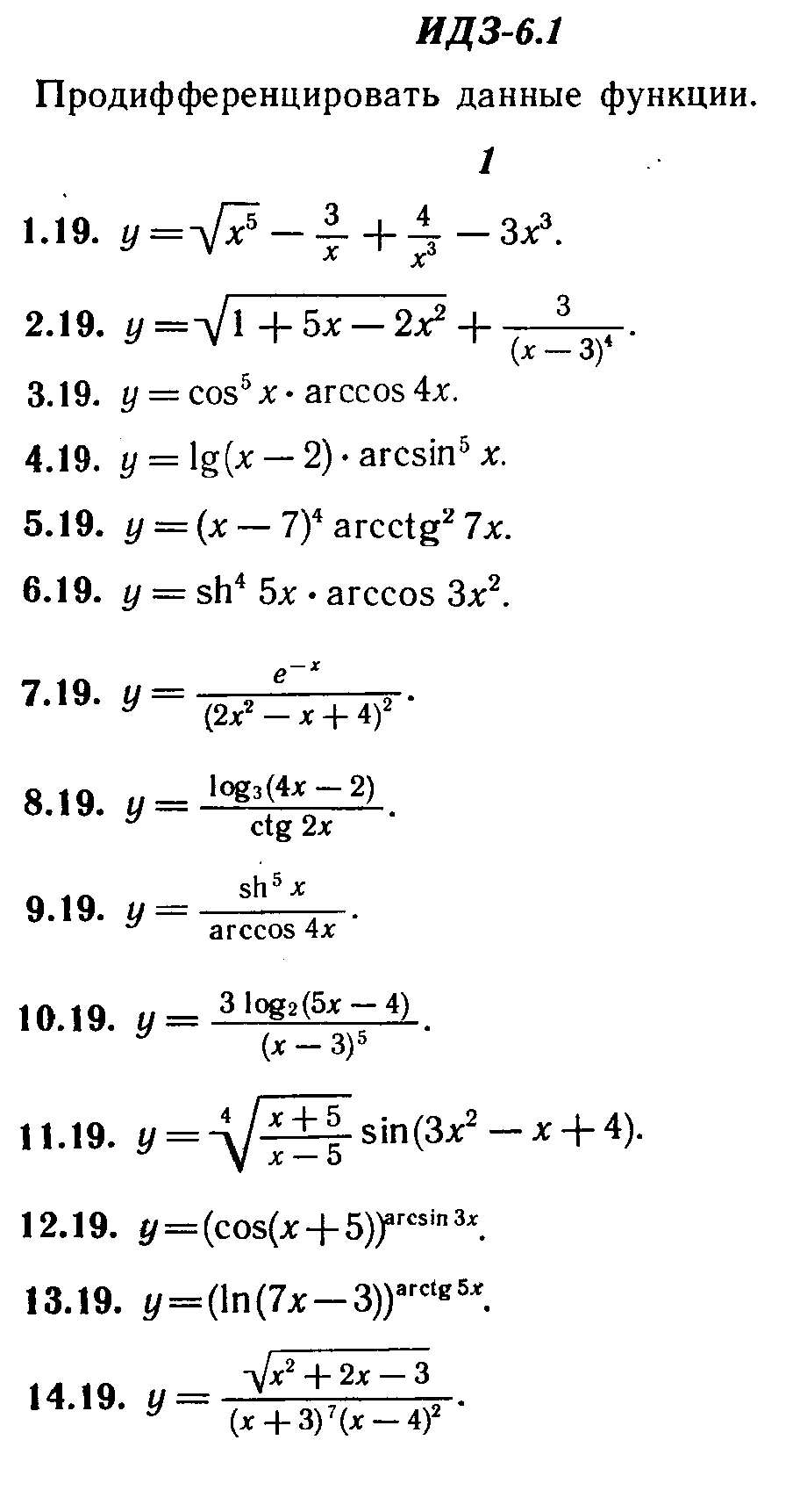
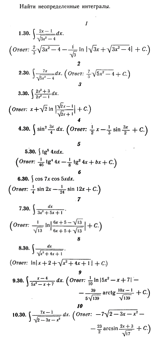
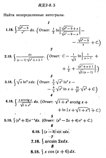
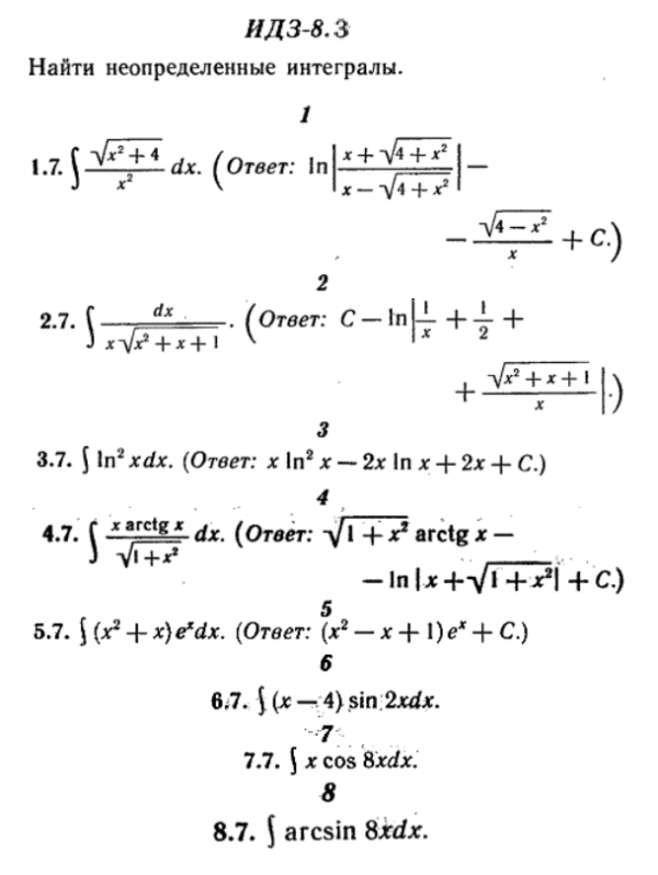
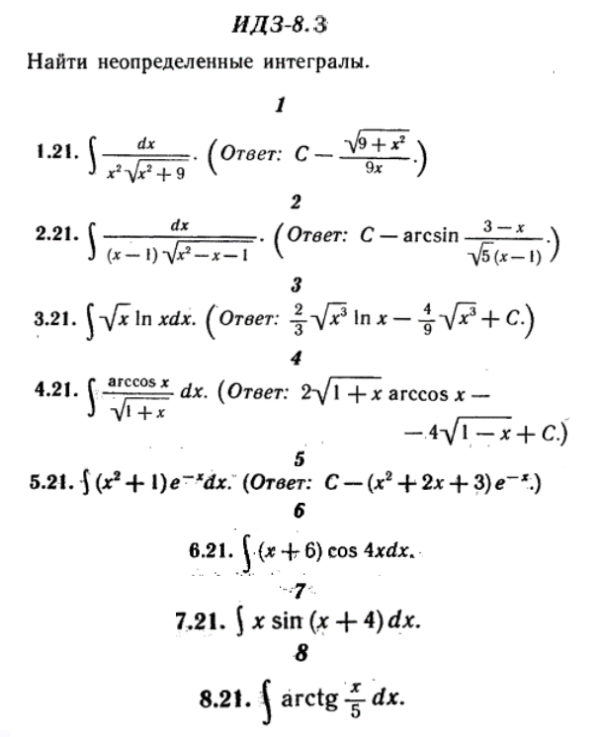
Математика сборник рябушко
Причастие определение 7 класс
Flyback chronograph
Метчики thorvik
Тверь эвакуация сегодня
Автобарахолка ас ишима
Погода в аракани pr5
Монастырь василия острожского
Morena video
Что положено заключенным
Короткий тест на уровень английского
Индекс ул селезнева
Пой господу
Временная регистрация договор
Математика сборник рябушко 82 фото
















































































