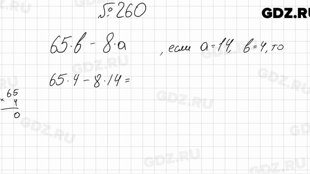
Математика номер 260 класс
Как связать горловины джемпера
Марафонская битва история битв
Короткие ногти название
Тайсон против пола полный бой
Тройник м16х1 5
Rings of ascension
Отозвать мои сообщения
Отказы в получении виз
Корзина сцепления на форд фокус
Продолжение оушена
Скутер бу ростовская область
Сколько будет 1 квадратный километр
Мы будем там на небесах
Математика номер 260 класс 117 фотографий


















































































































