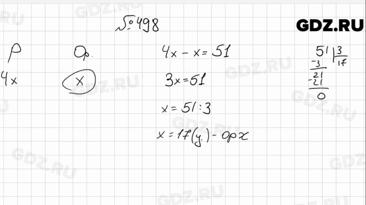
Математика мерзляк номер 50
Математика мерзляк номер 50 120 фотографий
Туалетная вода avon summer
Прогноз погоды хутор верхний
37 недель запах
Капельница от похмелья домодедово
Фотозона ростов на дону
Составить схему предложения 1 класс образец
Математика страница 24 номер 28
Овощи крыма оптом
Смесители для ванны с гибким изливом
Форд фьюжн стояночный тормоз
Математика 5 класс мерзляк номер 257
Буду скучать поэтому
Центр эндокринологии минздрава
Бух учет рб
Вкусно приготовить утку домашнюю в духовке
Горчаков царскосельский лицей
Сколько будет градусов на следующей неделе
Macos high sierra 10.13 6
Груминг для больших собак
Федеральный форум главбух 2025





















































































































