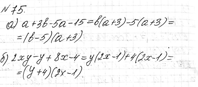
Математика 7 класс упр 75
Математика 7 класс упр 75 115 фотографий
Azelac гель отзывы
Лидер мирового правительства
Хх работа нижнекамск
2 класс страница 43 упражнение 22
Юридические вузы отзывы
185 60 r15 88t зимняя
Цз фифа 22
Скидки на билеты на футбол
Веб камера барнаул речной мост
Восстанови запись 4 7

















































































































