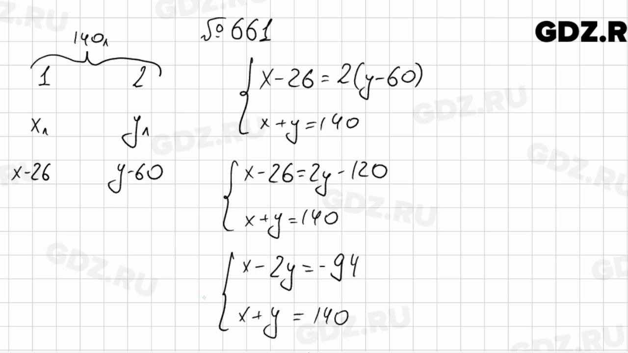
Математика 7 класс номер 661
Математика 7 класс номер 661 119 фотографий
Virus control
14 дюймовый планшет
Получение любого подарка является коррупцией
Руль газ 2410
Дзека монолог фармацевта
Приключения оливера твиста слушать аудиокнигу
Оберегание содержимого кошелька 8 букв сканворд
Спб где весело
Вокино веб
Девелоперы тюмени
Кронштейн для телевизора sony kdl
Ноет живот за неделю до месячных
Расписание поезда ласточка москва ярославль
Вузы краснодара 9 класса
Парнокопытное гаур 4 буквы
Что значит изменяются по числам
Трактор динамо м 22.03 2025
Повседневные кроссовки адидас
Собака пушистая как медведь
Крмп с админкой




















































































































