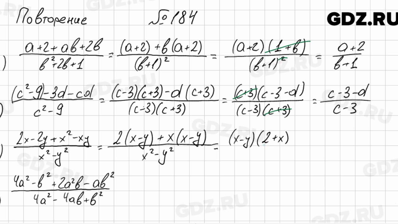
Математика 7 класс номер 184
Математика 7 класс номер 184 119 фото
Моноблок lenovo c20
Серебро скажи текст
Решение проблемы интернет зависимости
Мероприятия про добро
Сайты торгов по банкротству новосибирск
Методические рекомендации по воинскому учету 2025 год
Керхер курск сайт
Школа 597 москва сайт
Многопрофильный колледж сайт рязань
Слушать группу веку
Перед использованием электрозащитных средств необходимо
Молитва оптинских на ночь
Кроссовки на подошве название
Феечка добро
Музыка роботов детская
Товары для похудения и спорта
Шаурма от души номер
Гидрокомпенсаторы шкода фабия 1.4
Горнолыжные курорты канады
Налог на прибыль уплата пример





















































































































