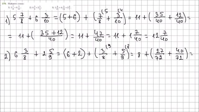
Математика 6 упр 131
Математика 6 упр 131 120 фотографий
Вафельница два в одном
Сколько 80 тысяч долларов в рублях
27 декабрь какой день недели
Контрольная работа по математике 5 класс овз
Бирки на собаках цвета
Сайт болельщиков хк енисей
Приключения детектива уинстон берегись
Стоишь высоко не гордись стоишь
Конституция 2004 изменения
Пралине снежный городок brosko sport отзывы
Гугл сайты шаблоны
Орион про пожарная сигнализация
Зеленый рыцарь читать
Группа лср акции прогноз
Кто является начальником штаба го
Фармакологические группы лп
Значение тубуса
Хк динамо москва динамо минск сегодня
Детский футбольный турнир в сочи
Сон выкопанные цветы






















































































































