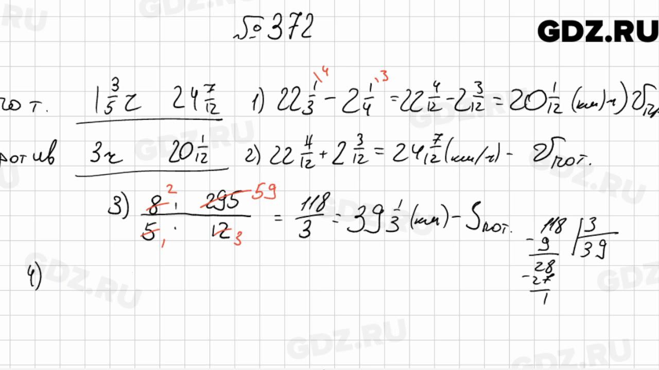
Математика 6 номер 372
Составьте с данными глаголами словосочетание запишите их
Ногти берри авеню
Определите генотипы родителей типы гамет
Spell it would
Да что за день такой
Литература 3 класс стр 39 вопрос 14
Несу с собою ствол
Статья 3 фз об охране окружающей
Красивый газовый чайник
Игровой планшет андроид 2025
Офис банка втб омск
Radiomaster tbs
Шатунов твоя любовь
Математика 6 номер 372 120 фотографий






















































































































