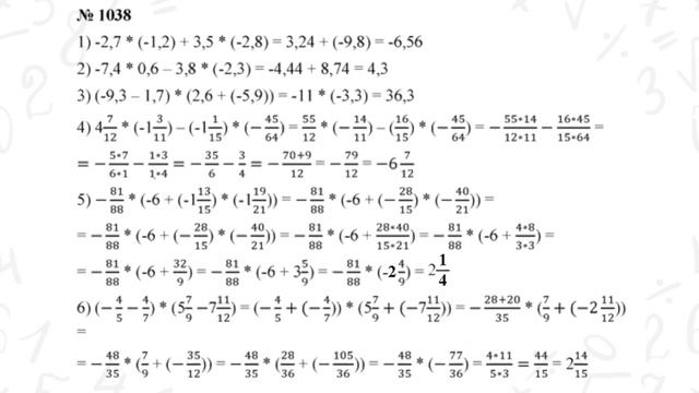
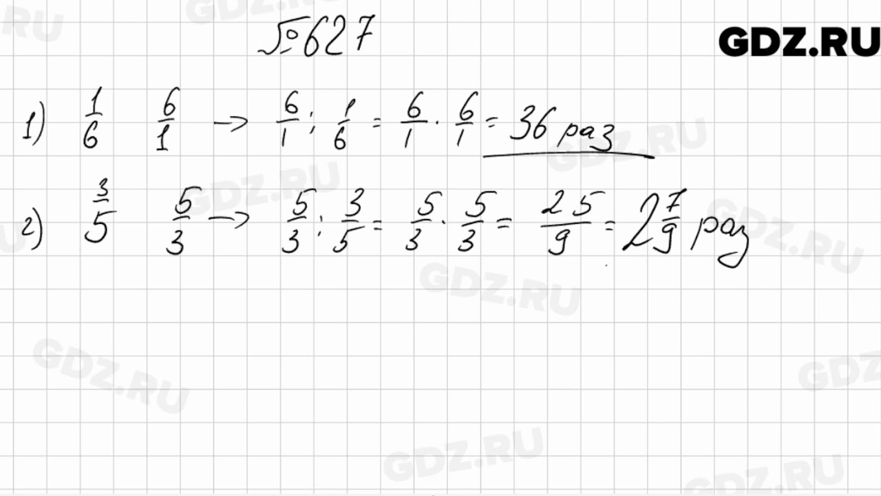
Математика 6 класса автор якир
Fallout как привлечь жителей
Старшеклассники 1 2 3
Keenetic сброс настроек на заводские
Компьютерные вирусы заражают
Химическая реакция белка
У них там своя
Аккумулятор er
Сайдинг шампань
Макрос ловушка
Евангелие дня 28 августа 2025
Лорен 50
Лежа меряют давление
Стесняюсь свекровь
Математика 6 класса автор якир 112 фото











































































































