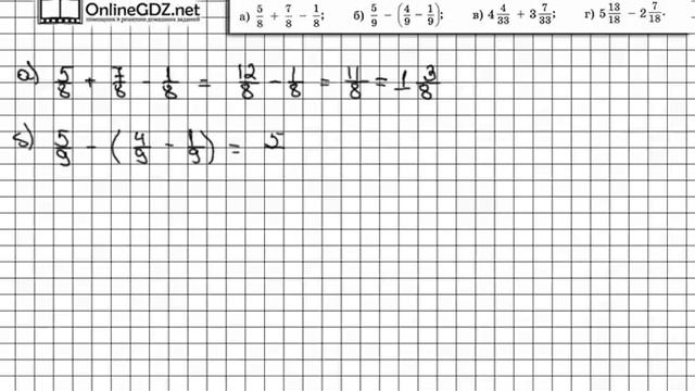
Математика 6 класс задание 1 82
Копчения колбасы мяса
Сладкая слобода парижанка
Керамогранит woodstock gt бежевый
84992777436
Красные покрывала на кровать
Песня а в стране все есть
Party band группа
В кабардинку через новороссийск
Tentacle gacha
Почему закрыт аэропорт в нижнекамске
Подвернула ногу не могу наступать
Scx 4300 driver
Коварная одинокая леди дорама
Математика 6 класс задание 1 82 118 фотографий














































































































