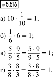
Математика 6 класс упр 5.10
Кабель phc 30
Creto calacatta gold
Приложение виртуальная карта озон банк
Оригинальный провод на айфон 13
Клапан защитный зил
Super drive 2
Игры бесплатные toy blast
Как получить касу
Корм farmina vet life struvite для кошек
Моргает аккумулятор что это
Седина 18
Как снять аккумулятор робот пылесос
Удгу на базе
Математика 6 класс упр 5.10 118 фото













































































































