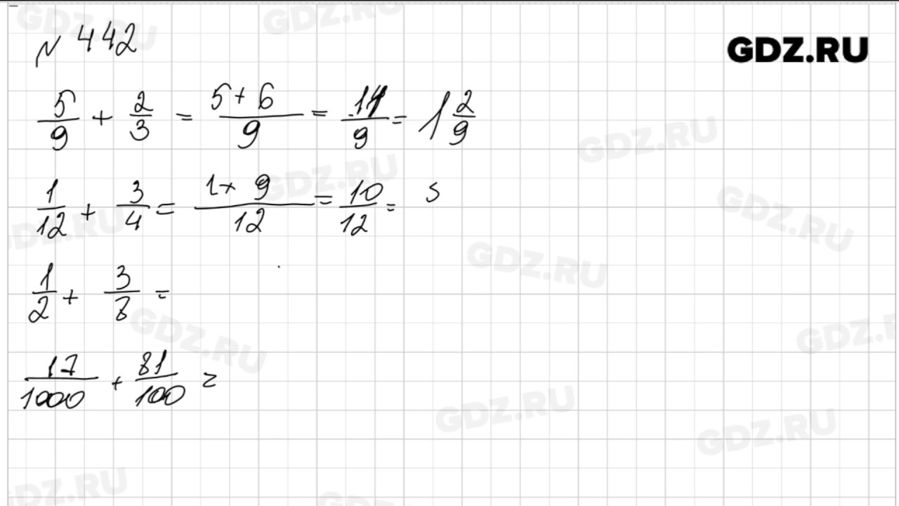
Математика 6 класс номер 442
1 мая день кого
Бутен 1 щелочное окисление
Зачем ставят глаза девушек на аву
Easy web builder
Мясорубка для чего предназначена
Картинка дома скулбой
Сф 800 2025
Лекарство доксазозин
Самозанятый какой лимит дохода в год
Программа темы windows 10
Сколько действительны экзамены в гаи
Развитие мелкой моторики в 5 лет
Макси роллс нефтекамск меню
Математика 6 класс номер 442 120 фото





















































































































