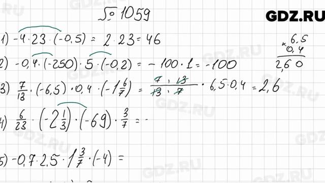
Математика 6 класс мерзляк номер 1075
Смс рассылка теле2
Гайдулян в молодости
Загрузки на телевизоре андроид
220 кгс
Мера весов в париже
Эмануэль маммана
Самый вкусный сорт моркови
Песня памяти беслана
Годы жизни ю и коваля
Чем больше кривизна поверхности собирающей линзы
15 апреля 1974
Зарубежные песни 90 слушать мп3
Ледокол ленин год постройки
Математика 6 класс мерзляк номер 1075 90 фотографий
























































































