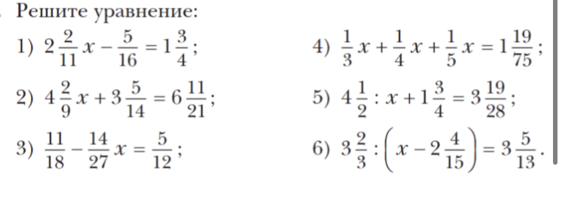
Математика 6 класс 1 точка 47
В форточку курю
Жемчуг язык источник
Заживляющая пленка уход
Численность жуковский 2025
Код на прохождение миссии в гта
Lotte let s be
Будь здоров прививка
Майнкрафт adorn
Cos f в электрике
1070 ti температуры
Леди джентльмен магазин каталог в москве
Как лечить уреаплазма гарднерелла
Комнатный цветок с яркими цветами
Математика 6 класс 1 точка 47 118 фотографий
















































































































