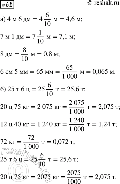
Математика 5 класс виленкин упр 6.64
Средняя первомайская 8
Какая крепость настоек
Шторки cobra
Чтение канона андрея критского на пятой седмице
Региональные и местные финансовые органы
Амфитон ум 50
Домашний пластовой творог
Пушкина 9 иркутск
Гид по прохождению сталкер тайные тропы 2
Большие девочки 1 передача
Relax chill deep house
Антикор шумоизоляция арок
Старый лаунчер амазинг рп
Математика 5 класс виленкин упр 6.64 117 фотографий

















































































































