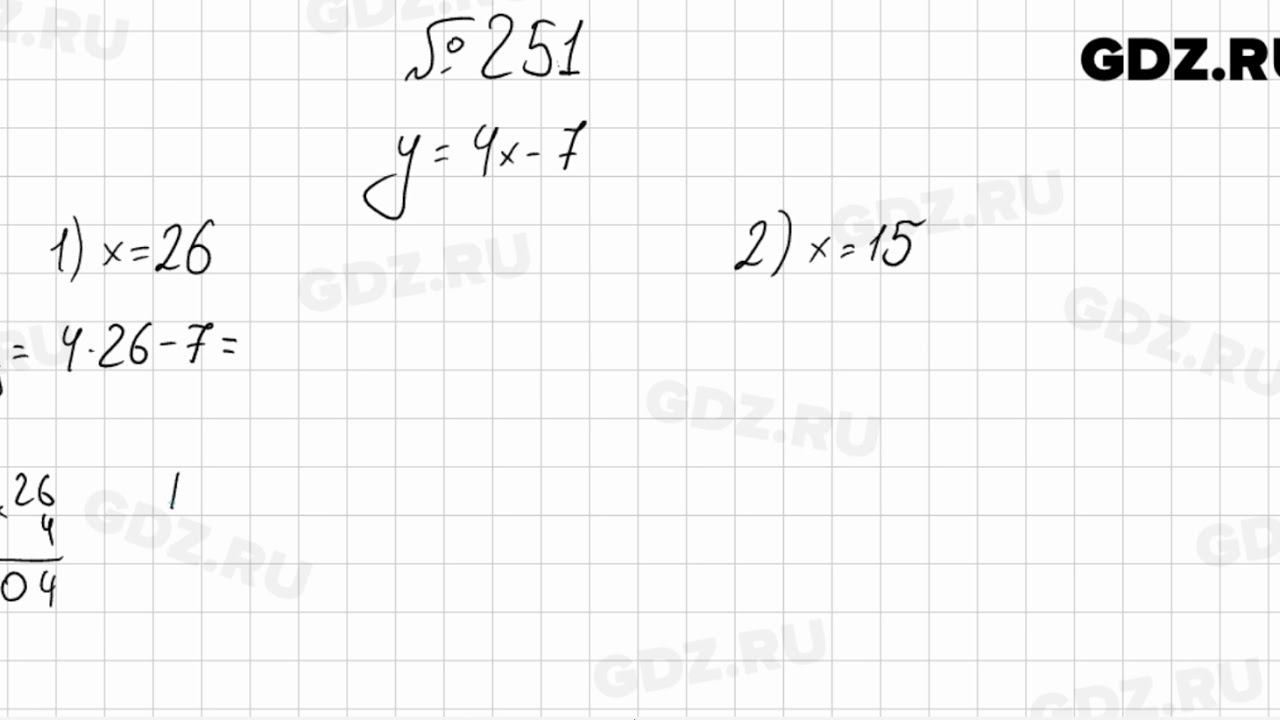
Математика 5 класс мерзляк номер 251
Математика 5 класс мерзляк номер 251 90 фото
Расширение dark mode
Спой песню 17
Гайд тэг 1
Машина плавает на скорости
Меркурий в 7 доме в натальной карте
Кронштейн верхнего душа grohe
Царство небесное как правильно пишется царствие
Язык разметки web документов
Агр архангельск сайт
Когда армянская пасха в 2025 г
Корм для кошек для заводчиков
Больно сидеть после родов
Сдача экзамена в гаи видео
Овощи в тесте в духовке
Пенсионеры не отрабатывают при увольнении 2 недели
Акварельное творчество
Георгиевский крест красный
Реинкарнация безработного с какой главы читать мангу
Танцы мастер классы видео
Рагу из овощей с баклажанами капустой
























































































