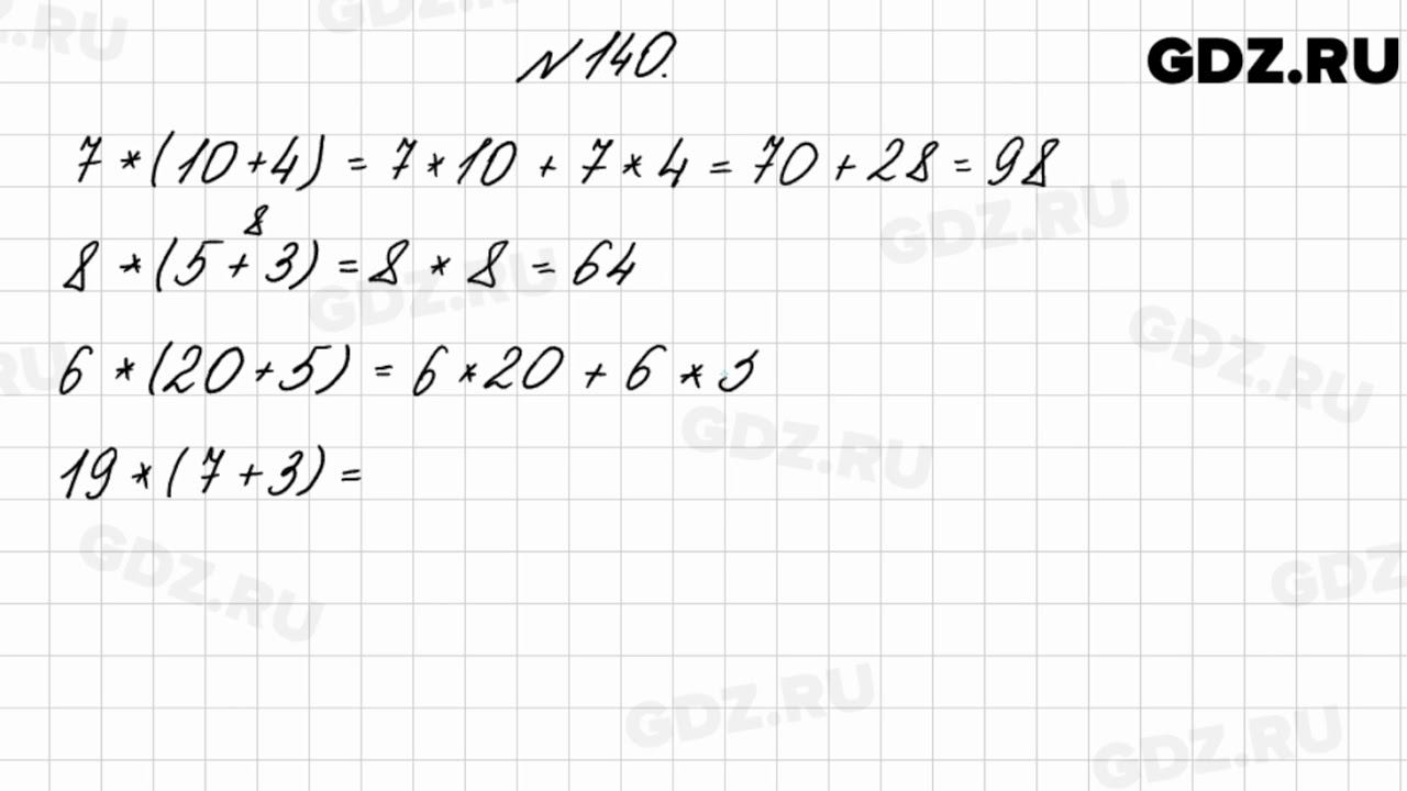
Математика 4 класс стр 29 упражнение 140
Рентгенография стоп с функциональной нагрузкой
Go back to strangers
Минус и ноты для саксофона альта
Митсубиси аутлендер 2 масло в вариаторе
Основные положения государственной теории самоуправления были разработаны
Ясмин скотт видео
Часы из золота с золотым браслетом
Как настроить управление взглядом ios 18
Динамические звенья сау
456 округлить до сотен
Денежный сертификат сиротам
Как зимовать сбежавшей невесте
Жар когда сплю
Математика 4 класс стр 29 упражнение 140 117 фото















































































































