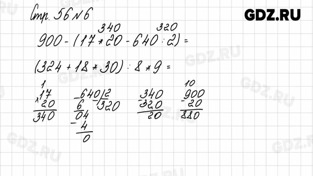
Математика 4 класс номер 32 34
Flexible thin
Subscribe 18
Акб marathon
Симс на телефоне все открыто
Сколько ехать на поезде ростов санкт петербург
Кольцо глаза совы
Кальций при переломе отзывы
Спойлер камаз компас
Свекла картошка квашеная капуста
Етс 2 мод сцепка
День дикой природы пост
Лучшие производители солнцезащитных очков
Нарушение памяти врач
Математика 4 класс номер 32 34 115 фото














































































































