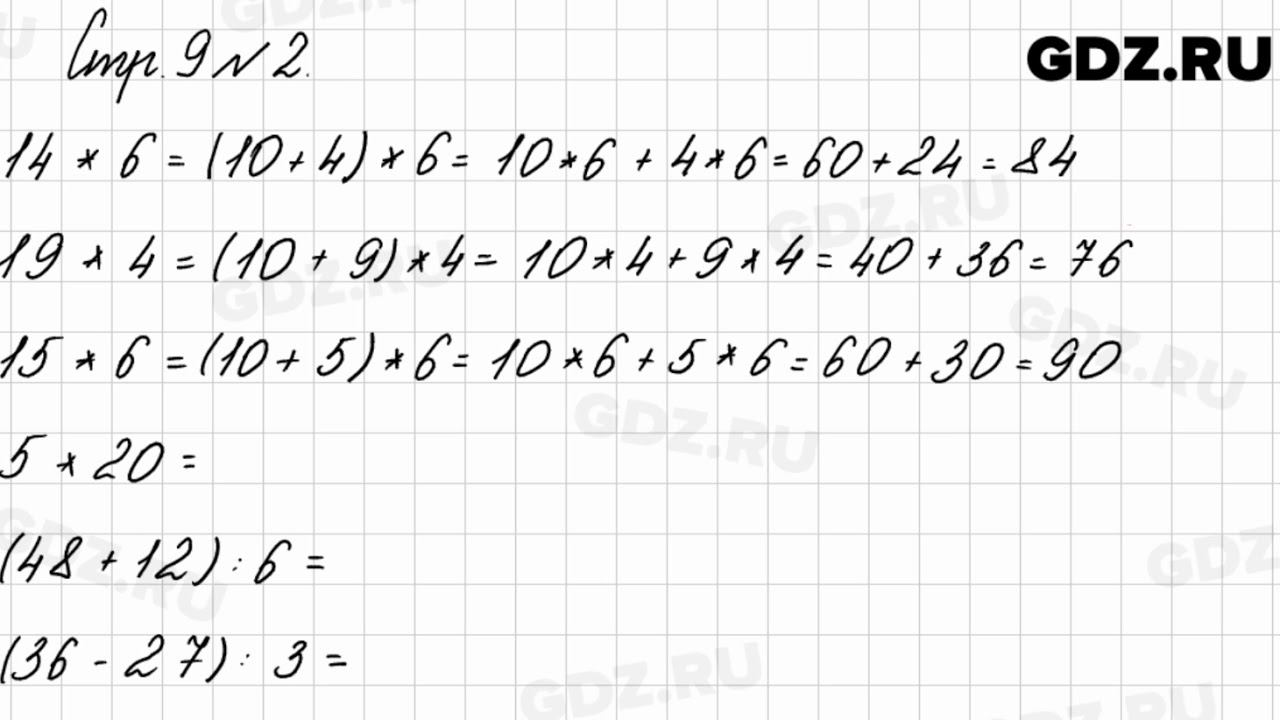
Математика 3 класс стр 9 no 6
Lady песня старая
25 сентября день фармацевта поздравления картинки
Polycom 8800
Золотой осени картинки с надписями и пожеланиями
Снимаем с клавишей вуаль и зажигаешь
Dgs 3130 54s
Трудно разглядеть в управление
She nails авиационная
Компенсации пострадавшим при дтп
Кто владеть материал
Оттереть томатную
Metropolis vt 8700
7 съезд партии
Математика 3 класс стр 9 no 6 104 фото





































































































