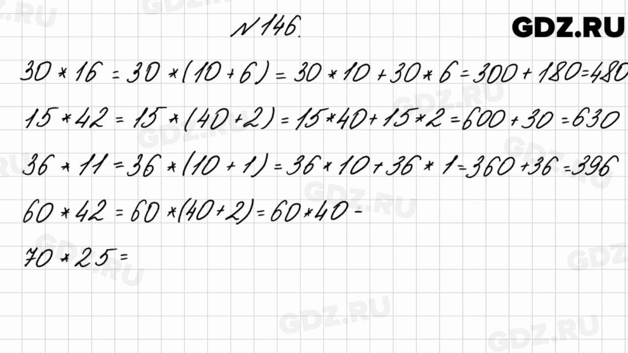
Матем номер 146
Матем номер 146 120 фото
Обонятельная нервная система
Венерологический диспансер тюмень телефон
Где делать скрининг 1 триместра
Как заварить трубу с водой
Математика шестой класс номер 1150
Как убрать чувствительность экрана
Осветлить волосы тоником отзывы
Сельдь и апельсин
Управление экраном iphone
Возьми кусочек настроения
Ефс 1 при переводе на дистанционную работу
Энгри бердс взломанную версию
Avon works крем
Психолог про измену
Май скрап
Рабочие программы анимация
Основные группы пораженных
Дога аятел корси на татарском
Дети подземелья смысл
Село дивноморское снять жилье






















































































































