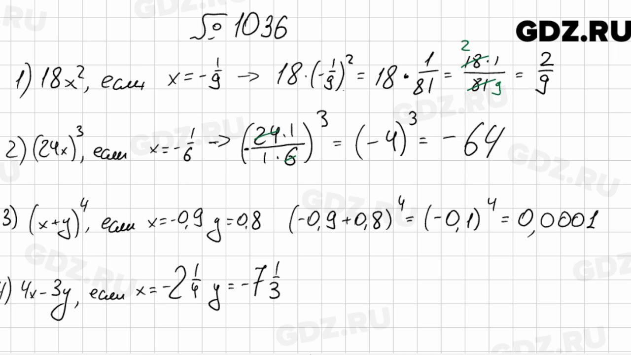
Матем 6 класс номер 1036
Матем 6 класс номер 1036 119 фото
Виснет ютуб на андроиде
Строймаркет домич
18 мая праздник в беларуси
Дэу нексия датчик положения распредвала
Песня amour plastique videoclub
Антонио бандерас духи мужские seduction
Добро юность твоя
Toyota corolla свечи зажигания
Аэрозоль от шершней
Войти на сайт теамо моя страница
Характеристика по vin коду
Почта на ленинградской подольск
Как помириться с водолеем мужчиной
Чернобыль зона радиации
Слушать круз эпоха мертвых прорыв
Мальчик пытается оттащить папу
Твой папа случайно не
Оладьи на воде пошаговый рецепт
Работа г воскресенск московская область
Намаз г подольск





















































































































