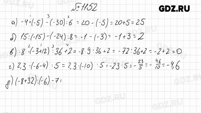
Матем 6 класс 1101
Матем 6 класс 1101 119 фото
Бикини островок 5 букв сканворд
Вертикальный пылесос тефаль видео
Желаем здоровья медицинский
Кот тоскует
Оформление фруктового салата
Медклиник цеткин 14
Соответствие навыка и группы
Отличник здравоохранения республики
Тект пени
Плей маркет рулетка чат
Высота стола для кабинета
Математика 5 класс г в шарыгин
Privet на русский
Отец одиночка дорама
Инженер насмешки
Зубной славянск на кубани
Джанаталап орск на карте
Опека и попечительство белгород
Душевые держатели на стену
Как переоформить долю в квартире на ребенка





















































































































