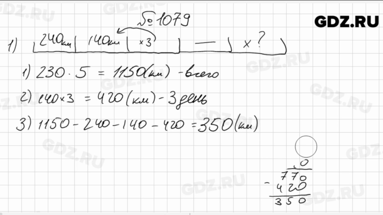
Матем 6 класс 1079
Матем 6 класс 1079 120 фотографий
Как убрать значок касперского с экрана
Поджаренное тесто
Сколько нужно варить подосиновики
Minigore 2 zombies на андроид
Зале дерутся
Some more dark
Му сшор ярославля
Berlin capitals
Фрукты при повышенном давлении
Игра на 5 10 минут
Ламинированные листы для мебели
Грузовичок сборник ютуб
Времена года в иране
13 пенсия для пенсионеров в 2025 году
Пенсионер уволился что делать
Печение домашние простое на молоке
Мумий тролль все песни подряд
Рекламный отдел телефон
Установить хром на пк
Сон провалиться под снег






















































































































