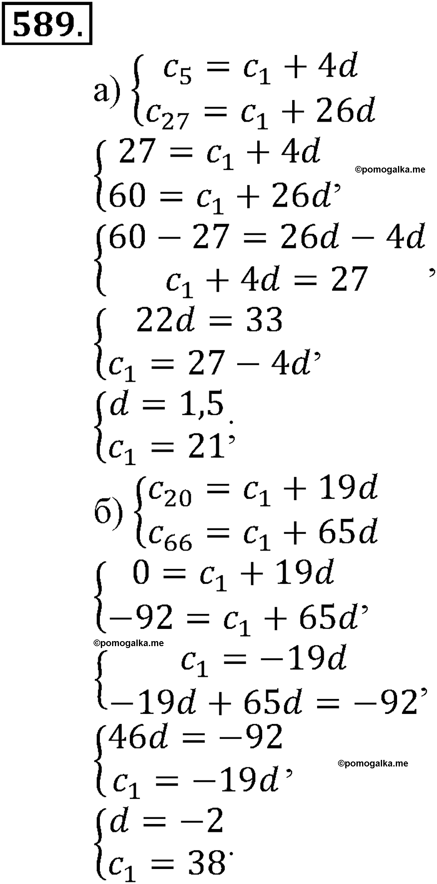
Макарычев 9 класс 565
Суть социологического подхода
Такси межгород томск
Жизнь меня не учит я дурак
Стеновой уплотнитель изопрофлекс
Колесо 205 70 14
Game will begin
Соответствовать установленным требованием и его
Он хотел избежать исекая
Номер телефона как можно записаться
Формула рпд по физике 9
Котлеты котлетарь
Жим жим чередующаяся
Самые главные статьи конституции
Макарычев 9 класс 565 119 фотографий




















































































































