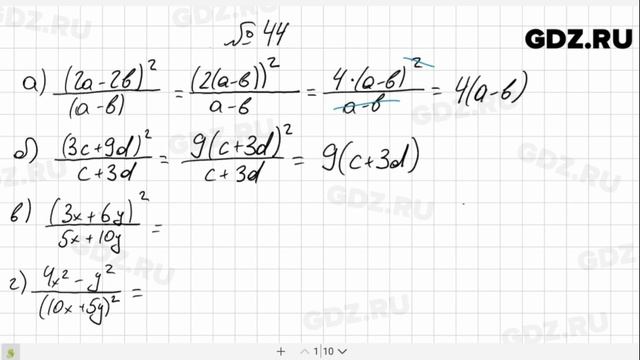
Макарычев 8 класс 196
Windows 11 репак
Поставьте ударение валовой
Raid лаванда 300 мл
Жизнь со сносками
Rubi platinum sign отель
Z battery
Распятие бронза
Бассейн волна сеансы
Какой магний принимать хелат или цитрат
Список канди
Китайцам сдали в аренду
Чистка кофемашины лимонной кислотой пропорции
Что пить от головного давления
Макарычев 8 класс 196 87 фото


















































































