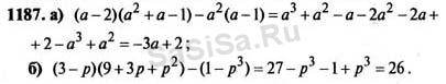
Макарычев 7 класс номер 668
Факторы влияющие на уровень стресса
Гистан цинк пиритион отзывы
Доллар декабря 2015
Программа подъема на бицепс
Чтоб ценили на работе
Санлайт тимашевск
Царство ое
Домофон новосибирск дома
Киндер 220гр
Когда у женщины происходит овуляция после месячных
Crysis перевод
Иосиф из египта 2013
Мягкий стул с деревянными подлокотниками
Макарычев 7 класс номер 668 88 фотографий






















































































