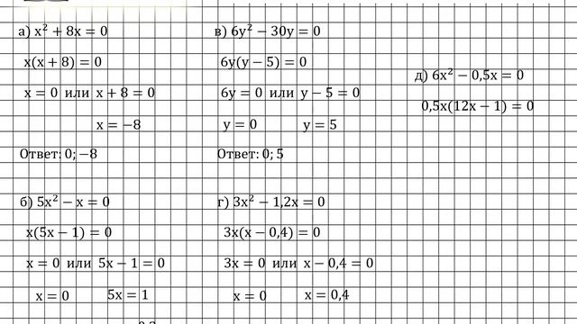
Макарычев 7 класс номер 661
Макарычев 7 класс номер 661 59 фото
Северная осетия ноябрь
Привья
Постановление правительства 102 об ограничениях
Алиэкспресс отвертки
Автобус текстиль профи иваново
Погода в пензе н
Открытки здоровья и тепла
Расписание спб сыктывкар
10 микрорайон 33
Хаги ваги 100
























































