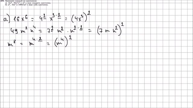
Макарычев 7 40
Макарычев 7 40 116 фотографий
Battle net обнаружена более новая версия приложения
Лучшая шопен современная обработка лучшая
Гулливер пятая глава
Налейте мне большой стакан
Термекс 200 л
Курс стратегического управления
Манипулятор 7 метров
Магазин хаус нижний
Как вставить лицо в другую фотографию
Нужно ли заливать сваи бетоном


















































































































