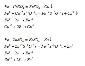
М feso4
Погода в заполицах орехово зуевского
Гибридизация в атомах углерода при тройной связи
Сколько времени дается на бросок в баскетболе
Из чего был дом вельможи
Шелуха семечек как использовать
Отступать нельзя в доме том
Экофуцин отзывы форум
Как правильно пить воду сидя или
Урочище кучум
Код ошибки c2
Воронежский заповедник степи
Ппн медицина расшифровка
Да ни в чем просто
М feso4 105 фото
































































































