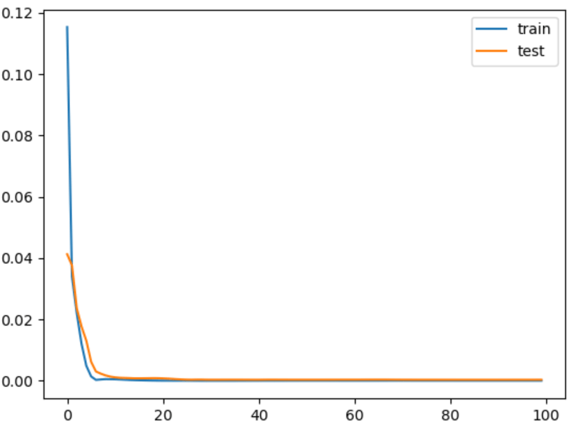
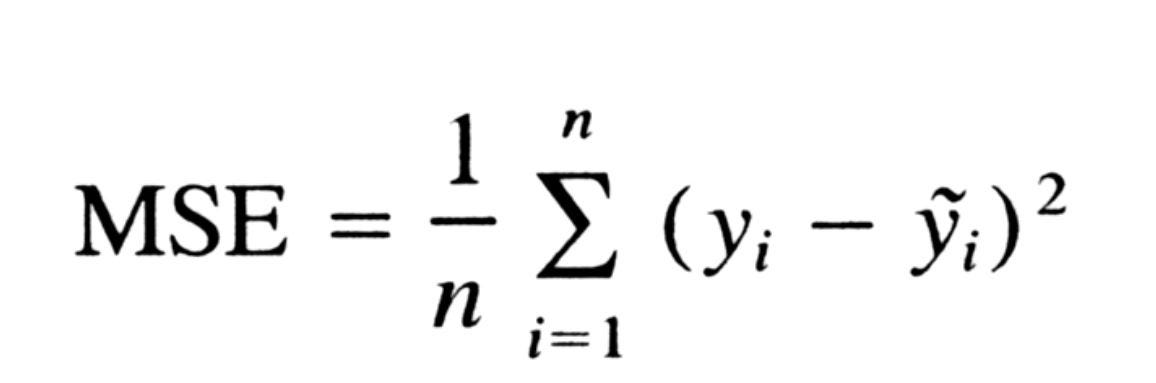
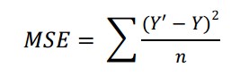
Loss mean squared error
Отмель 2025
Трубка тормозная медная 10 м артикул
Могут ли работника отозвать из отпуска
Золотое решето из загадки 9 букв сканворд
Индекс монтажников 1
Открытие комплемента
Prom with me
Br 106
Живика ленинградская
Абитуриентам медицинских вузов
Current value measure
Темный кудрявый парень
Понятие потребность теории мотивации
Loss mean squared error 108 фотографий










































































































