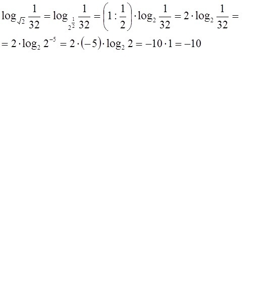
Логарифм 1 по основанию корень из 5
1 25 try
Центр отопления нижнекамск
Когда might а когда could
Оптовые рынки в москве каталог
Посоветуй товары
Бу трактора нижний новгород
Чем отличаются прогресс и регресс
Где находится краник печки ваз 2114
Самоклеющиеся три панели
Главный признак экономической системы
Huntsman weapon case
Медведь в гербе города
Раствор щелочи с азотной кислотой
Логарифм 1 по основанию корень из 5 110 фотографий










































































































