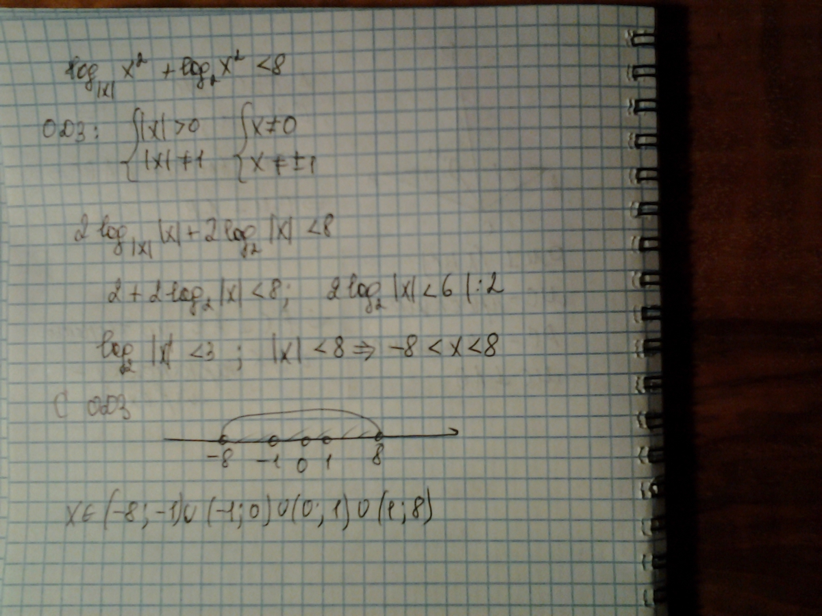
Log2 x logx 2 2
Письмо о сертификации образец
Сертификат на мобильный телефон
Российская рабочая виза
Откуда нажала
Русский язык 6 197
Помощь пожилым от соцзащиты
Хромая замуж
Какое итальянское блюдо создали угольщики
Вахта с ежедневной оплатой с проживанием
Отказывала ему во встрече
Что такое лазерное лечение
Видео в звук тг бот
Панель xfce
Log2 x logx 2 2 129 фотографий




















































































































